“北斗”卫星导航系统服务演进及展望

2024-08-23 14:18:00

来源:中国航天

“北斗”卫星导航系统服务演进及展望
卢鋆1,2、张弓3、王慧林4、李罡1,2、杨宇5
(1. 北京跟踪与通信技术研究所;2.智慧地球重点实验室;3. 中国空间技术研究院通信与导航卫星总体部;4. 中国卫星导航系统管理办公室;5. 中国西南电子设备研究所)
 
摘   要:
“北斗”三号全球卫星导航系统自正式开通服务以来,在国民经济、国防安全、人民生产生活等方面发挥了至关重要的作用。本文介绍了“北斗”系统服务体系构成,围绕路线设计继承发展、服务功能高度集成、增量发展螺旋上升三大特点,总结了“北斗”系统定位导航授时、报文通信、导航增强与国际搜救四类服务演进,详细论述了各服务的设计特点和性能,结合全球卫星导航系统新一轮变革研判了“北斗”系统服务发展趋势,并从系统稳定运行、服务性能提升、多手段融合赋能三大方面提出了发展建议。
关键词:“北斗”三号;服务演进;发展态势
 
 
2020年7月31日,我国“北斗”三号卫星导航系统(BDS-3)正式开通服务,标志着“北斗”全球卫星导航系统部署圆满完成,迈进全球服务新时代。自2000年“北斗”一号建成至今,“北斗”系统始终坚持“自主、开放、兼容、渐进”的原则,通过“三步走”战略不断创新发展,逐渐形成了以高精度定位授时、报文通信、导航增强、国际搜救(SAR)为代表的具有独特优势的多样服务,更好地满足了各类用户的多元化需求。在新时代,“北斗”作为国家重大时空信息基础设施,将持续提升系统性能和用户服务体验,在国民经济、国防安全、人民生产生活等方面发挥更加重要的作用。
一、“北斗”系统的服务体系
(一)服务体系的构成
与其他全球导航卫星系统(GNSS)相比,“北斗”系统提供定位导航授时和通信数传两大功能,更好地满足了用户的多元化需求,包括面向全球范围提供卫星无线电导航服务(RNSS)、全球短报文通信(GSMC)和国际搜救(SAR)服务;在中国及周边地区提供星基增强(SBAS)、精密单点定位(PPP)和区域短报文通信(RSMC)服务。
无线电导航服务:通过“北斗”系统空间星座中卫星的B1C、B2a、B2b、B1I、B3I信号提供服务。通过该服务用户可确定自身位置、速度和时间。目前,定位导航授时服务由“北斗”二号和“北斗”三号星座联合提供。
区域短报文通信服务:通过星座中3颗地球静止轨道(GEO)卫星提供的L频段和S频段信号提供服务。用户完成申请注册后,可获取点播、组播、通播等模式的短消息通信服务。
全球短报文通信服务:利用“北斗”三号中圆轨道(MEO)卫星全球覆盖的特点,通过14颗MEO卫星L频段信号提供服务。该服务可实现在全球任何位置看见2颗及以上卫星的全球短报文波束,满足我国全球短报文随遇接入需求。
星基增强服务:通过“北斗”三号3颗GEO卫星提供的B1C、B2a信号提供服务。按照国际民航组织标准,服务中国及周边地区用户,支持单频及双频多星座两种增强服务模式。
精密单点定位服务:通过“北斗”三号3颗GEO卫星提供的B2b信号提供服务。用户通过本服务可实现动态分米级、静态厘米级的高精度定位。
国际搜救服务:通过“北斗”三号MEO卫星提供符合全球卫星搜救系(COSPAS-SARSAT)标准的搜救服务,与其他中轨卫星共同组成全球中轨卫星搜救系统,为全球用户提供遇险报警,并通过返向链路完成遇险报警确认。
(二)服务体系的特点
1.继承发展的路线设计
“北斗”卫星导航系统按照“三步走”战略建设发展,如图1所示。每一代“北斗”系统均采取向后兼容、平稳过渡的系统升级策略,有力保证了系统升级过程中用户服务的连续性。
“北斗”一号系统2000年投入使用,实现卫星无线电测定服务(RDSS),为有源定位体制,为中国用户提供定位、授时、广域差分和短报文通信服务。“北斗”二号系统2012年投入使用,在兼容“北斗”一号系统技术体制基础上,增加无源定位体制,即卫星无线电导航服务(RNSS),为亚太地区用户提供定位、测速、授时和短报文通信服务。“北斗”三号系统在“北斗”二号的基础上,进一步提升性能、扩展功能。具体体现在定位导航授时服务范围覆盖全球,服务性能持续提升;短报文服务范围不断扩大、服务容量不断扩展;星基系统持续建设完善,系统服务精度和可靠性大幅提高。同时,新增了精密单点定位、国际搜救等服务,为用户提供导航定位和通信数传于一体的高品质服务。
2.高度集成的服务功能
在“北斗”系统多服务集成中,主要从星座配置、信号设计、卫星实现3个方面进行系统设计和优化。
在星座配置方面,依托混合星座构型,以MEO卫星为主承担全球服务,利用GEO、倾斜地球同步轨道(IGSO)轨道相对固定的优势,对重点地区进行补充和增强,并实现区域特色服务。
在信号设计方面,一是B1C和B2a信号载波频率采用了国际通用的互操作频1575.42MHz和1176.45MHz,实现与其他GNSS系统兼容与互操作;二是对不同类型卫星信号功能进行了系统划分,支持多样化服务。IGSO和MEO卫星以RNSS服务为主,兼顾返向链路功能,通过信息速率较高的B2b信号作为返向链路向遇险用户发送报警信息、报警位置确认或救援行动确认等应答信息。GEO卫星信号通过一体化设计,可同时支持RNSS、SBAS和PPP服务。
在卫星实现方面,MEO卫星采用新型导航卫星专用平台,支持“一箭双星”直接入轨,具备高精度时频、RNSS导航、星间链路、全球短报文通信等功能。GEO卫星采用“东方红”三号B导航平台,攻克了多信号复杂电磁兼容难题,具备基本导航、星基增强、PPP、短报文多类业务综合处理功能,实现了多种服务信号在同一卫星上同时播发。IGSO卫星采用“东方红”三号B导航平台,攻克了IGSO高精度导航技术,具备基本导航和各类通信功能,实现重点区域服务性能的显著提升。
3.螺旋上升的增量发展
在“北斗”全球系统服务规划建设中,探索并实践了螺旋上升增量发展的新模式,实现了“北斗”系统功能和服务的迭代演进。
“北斗”以系统功能最强、性能最优为目标,在“北斗”三号卫星设计上,平台承载、设备产品布局面积、安装接口、功率、热控、信息传输接口等均提前设计扩展余量,使多种增量载荷的灵活配置成为可能,为系统增量功能和需求拓展提供了前提条件,解决了配置复杂与批产的矛盾。
通过全面统筹系统资源与增量需求,分批次增加或增强服务能力,“北斗”系统实现了国际搜救、全球短报文通信、精密单点定位三大服务增量功能和载荷。通过配置搜救载荷,“北斗”系统实现国际搜救服务,显著提高了全球范围内的生命搜救和财物救援能力。全球短报文通信服务则是“北斗”系统最具特色的服务,填补了我国在全球短报文通信能力方面的空白,满足了多方应用需求。精密单点定位服务具备我国及周边地区广域分米级高精度定位能力,使“北斗”系统成为世界上第一个提供公开精密单点定位服务的GNSS系统,对扩展“北斗”高精度应用领域具有重要意义。
二、系统服务引进及特点
(一)基本定位导航授时服务
“北斗”系统定位导航授时服务按照从有源到无源,从区域到全球演进,在发展过程中既保证了系统平稳过渡,又推动定位授时精度不断提升。基本定位导航授时服务定位体制、服务区域、信号类型如表1所示。“北斗”三号通过星座规模扩展、信号体制设计、星间链路测量、星载原子钟升级以及电离层算法模型改进显著提升了服务能力。目前,“北斗”三号全球范围平均水平定位精度优于9m,垂直定位精度优于10m,平均测速精度优于0.2m/s,平均授时精度优于20ns,空间信号连续性和可用性分别优于99.8%和98%。
“北斗”三号星座规模扩展以24颗MEO卫星的全球组网为核心,利用MEO卫星星下点历经全球的特点,实现全球服务能力。如图2所示,“北斗”二号以GEO、IGSO卫星为主,可见卫星数分布表现出明显区域性,亚太地区为8~12颗,美洲地区服务不可用;而“北斗”三号全球可见5~12颗,平均8.5颗,且当同时使用“北斗”二号和三号卫星时,全球大部分地区可见卫星超过8颗,平均为13.1颗,显著改善了星座几何图形条件,拓展了服务范围,提升了精度、可用性和连续性。
“北斗”三号信号体制设计以性能提升、自主创新、兼容操作、平稳过渡为目标。“北斗”系统信号设计中可用的频率资源有限,且还需考虑GPS、GLONASS等系统已经完成的导航信号专利布局。综合以上情况,“北斗”系统采用多载波恒包络复合导航信号,具有频域稀疏、时域恒包络等特点,能有效利用非连续频谱资源,提供更优测距精度,形成更大的Gabor带宽,提升抗干扰能力。B1频点和B2频点分别为QMBOC、QPSK调制方式,信号结构灵活,接收方式多样,在保证兼容互操作性的同时,规避了知识产权风险,保证了系统的自主可控。另外,新信号增加了导频通道,增强捕获灵敏度,提高弱信号环境下的接收稳健性,导航电文信息速率由“北斗”二号500bit/s降低为50bit/s或100bit/s,抗干扰能力显著提升。
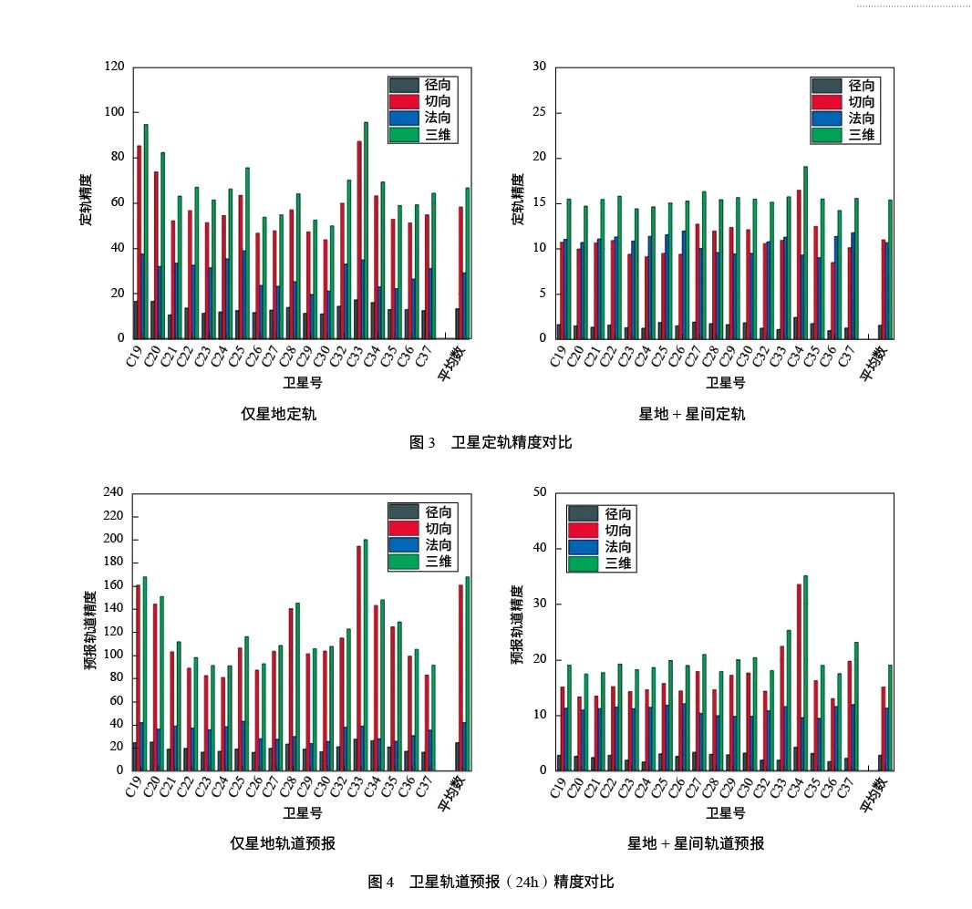
国外的GPS、“伽利略”等全球卫星导航系统依靠在全球布设地面站的方式确保其在全球范围内具备良好的服务性能。针对我国导航卫星管理无法全球布站、MEO卫星观测弧段不足的问题,“北斗”三号采用了“境内站+星间链路”的方案构建全球系统。通过卫星之间的伪距测量与双向通信,实现星座精密定轨与时间同步、支持全天候境外卫星在轨管理的目标。实测结果如图3、图4所示,加入星间链路以后,卫星定轨精度在径向、切向、法向和三维位置上分别提升至1.6cm、11.0cm、10.7cm、15.4cm,轨道预报精度在径向、切向、法向和三维位置上分别提升至2.6cm、16.7cm、10.9cm和20.3cm。通过国际iGMAS的监测评估,“北斗”系统30颗卫星平均空间信号精度优于0.5m,服务性能达到国际先进水平。
“北斗”三号卫星上配置了我国自主研发的更高稳定度、更小漂移率的新型高精度铷钟和被动型氢钟,铷钟天稳达到3×10-14量级,氢钟天稳进入5×10-15量级,相比“北斗”二号,星载时频基准性能大幅提高。此外,新增卫星钟自主平稳切换与完好性监视等功能,显著提升了信号与服务的可靠性和完好性。
基本导航服务性能的提升离不开算法模型的改进。以电离层延迟为例,“北斗”三号采用新一代全球广播电离层延迟修正模型(BDGIM),为用户提供更好的误差改正服务。实测结果表明,BDGIM模型在我国境内、亚太地区和全球范围内的电离层修正百分比分别达到73%、70%和68%,显著改善了“北斗”二号电离层模型59%、47%和38%的修正效果。
(二)报文通信服务
“北斗”三号系统提供区域和全球两种短报文通信服务。区域短报文通信在“北斗”一号和“北斗”二号原有旧信号体制基础上进行设计,既可确保用户平稳过渡,又进一步扩大了服务范围,提高系统容量及运行服务保证能力,降低终端发射功率,为卫星短报文通信迈向大众奠定了基础。目前,“北斗”三号区域报文通信能力大幅提升,服务能力由54万次/h提升至入站1000万次/h和出站600万次/h,单次通信能力由120汉字增长至1000个汉字,终端发射功率由30W降低至3W。
短报文通信服务平台由大口径天线、信号处理系统、信息处理系统和信息平台等组成,面向“行业+大众”应用两大服务领域,提供“终端—应用平台—手机”互通服务模式,“北斗”短报文通信以“不换SIM卡、不换手机号、不加外部设备”方式进入大众手机,全球首次实现了手机直连卫星。2022年9月6日,支持“北斗”三号报文通信服务的手机正式发布,实现了无地面网络信号覆盖环境下的应急通信,标志着“北斗”三号报文通信服务由行业应用迈入大众应用的发展新阶段。
此外,在区域短报文的基础上,“北斗”三号充分挖掘星间链路组网潜能,在现有导航星座中优选MEO卫星组成“子星座”,以最小代价形成全球范围双重覆盖能力(地面仰角15°条件)。系统采用通信和导航相结合体制,通过配置全球短报文通信载荷,将报文通信区域从亚太地区扩展到全球。目前,全球短报文服务信息速率为400bit/s,具备30万次/h的短报文服务能力,可传输40个汉字。在星间链路支持下,全球短报文信息可低时延、高可靠传输,全球数据传输回传时延小于30s,服务成功率优于98%。
(三)增强服务
1.星基增强
星基增强服务经历了“北斗”二号、“北斗”三号的发展演进。“北斗”二号系统通过GEO卫星B1I/B2I/B3I频点发播D2电文,提供等效钟差改正数和格网电离层延迟改正,实现对中国及周边地区的广域差分增强,但电文中没有完好性信息,并且该电文也未采用国际民航组织(ICAO)公布的标准。“北斗”三号一体化规划建设了“北斗”星基增强系统(BDSBAS),满足ICAO系列标准。目前,通过GEO卫星的B1C和B2a信号分别播发满足一类垂直引导进近(APV-I)要求的单频增强服务和一类精密进近(CAT-I)指标要求的双频增强服务。
BDSBAS由空间段、地面段和用户段三大部分组成。空间段包括3颗GEO卫星,地面段包括27个境内监测站、3个境外监测站、2个数据处理中心、1个运行控制中心和3个注入站,用户段包括使用BDSBAS终端设备的航空等各类用户。监测站对GNSS卫星基本导航信号进行连续观测,实时获取原始观测量和基本导航电文,同时采集当地气象数据,通过通信网络将各类信息传送至数据处理中心,由数据处理中心信息处理系统生成单频和双频多星座(DFMC)差分改正数与完好性信息,发送给注入站并上注到GEO卫星,由GEO卫星将增强电文向用户播发,供用户使用。
BDSBAS单频增强服务实现对GPS L1C/A增强,增强服务信息(信息类型如表2所示)通过“北斗”GEO卫星的B1C信号播发。B1C信号的中心频率为1575.42MHz,调制方式BPSK(1),信息速率为250bit/s,电文格式符合ICAO SARPs标准电文格式要求;BDSBAS DFMC增强服务实现对BDS B1C/B2a和GPS L1/L5的增强,增强信息(信息类型如表3所示)通过“北斗”GEO卫星的B2a信号播发,B2a信号的中心频率为1176.45MHz,调制方式为BPSK(10),信息速率为250bit/s,电文格式符合IWG DFMC SBAS ICD标准电文格式要求。
通过对“北斗”星基增强服务的连续监测和持续的性能评估分析,现阶段BDSBAS单频增强服务满足APV-I指标要求,DFMC增强服务满足CAT-I指标要求。
2.精密单点定位
精密单点定位是“北斗”三号系统的新增服务。“北斗”系统在顶层设计上将PPP服务内嵌到系统,通过GNSS星座的GEO卫星的B2b导航信号播发精密轨道钟差改正数、码间偏差等增强信息,显著提升了中国及周边地区用户的定位性能和使用便捷性。
基于PPP-B2b服务的PPP技术相继突破了区域站与星间链路结合的高精度卫星定轨,顾及兼容性与扩展性的信号调制复用方案设计等技术难点,无需互联网和区域地面站支持,能够解决互联网接入和基站架设困难的偏远地区高精度服务问题,满足大多数高精度服务需求。与传统的商业PPP服务相比,一体化实现高效便捷,并且完全公开免费。
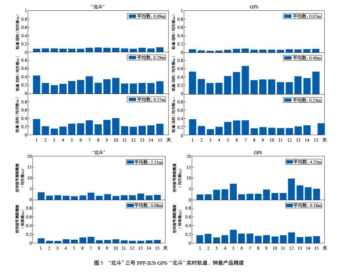
如图5所示,“北斗”三号PPP-B2b服务提供的“北斗”和GPS系统轨道产品径向、切向、法向分别优于0.1m,0.4m和0.3m;“北斗”与GPS钟差STD均值分别为0.08ns和0.18ns。随着智能时代人类对于精准时空信息需求的愈发强烈、大型低轨星座的兴起、精密定位理论的成熟,“北斗”高精度服务未来还将朝着全球快速厘米级定位的方向持续演进升级。
(四)国际搜救服务
“北斗”系统搜救服务由空间段和地面段支持,具备提供符合COSPAS-SARSAT标准的中轨搜救服务和“北斗”特色返向链路服务的能力。其中,空间段包括6颗配置搜救载荷的MEO卫星,地面段包括中国中轨卫星搜救接收站(MEOLUT)、“北斗”中轨搜救地面支持系统(包括“北斗”返向链路信息处理系统BDSRLSP)、国际搜救卫星系统中国任务控制中心(MCC),并与全球35个MCC、47个MEOLUT站共同构建中轨搜救卫星系统地面段。
“北斗”前向中轨搜救服务满足COSPAS-SARSAT标准信号体制与数据格式。用户上行报警信号按照信标的种类分为第一代信标信号和第二代信标信号两种。其中,第一代信标采用BPSK方式调制,第二代信标采用DSSS-OQPSK方式调制,用户上行信号主要工作参数见表4。下行信号与其他中轨卫星搜救系统兼容,并于2018年完成国际频率协调,主要工作参数见表5。
“北斗”卫星搜救转发器的频率变换功能在UHF接收变频器中实现,采用可灵活配置的二次变频方案,本振电路采用双环锁相方式。公共本振、一本振和二本振设计为参数可调模式,通过对2个本振频点的灵活配置,实现了对搜救载荷需求的快速变更响应。与此同时,“北斗”创新性地进行搜救及报文天线的融合设计。突破微带阵列形式的多频段低剖面设计技术,实现了天线整体剖面的压缩;突破多天线共口径设计技术、馈电网络和天线阵面的多天线一体化设计技术,实现了多频段低剖面共口径一体化搜救报文天线融合设计,解决了MEO卫星平台一箭双星整流罩包络约束问题,为在全球任意位置提供搜救服务和生成精准报告信息提供了独特优势并惠及全球用户。
返向链路(RLS)服务是COSPAS-SARSAT的先进功能,即在COSPAS-SARSAT传统前向中轨搜救服务基础上,通过导航电文方式向遇险信标下播返向链路信息,为遇险报警人员提供报警确认及双向信息交互,从而增强遇险人员信息与存活概率,同时便于警情确认及减少误报警率。目前,“伽利略”(Galileo)、“北斗”和GLONASS为返向链路提供方。Galileo已于2021年宣布其返向链路进入全功能运行状态,“北斗”与GLONASS已将其返向链路信息写入COSPAS-SARSAT标准文件。2023年10月COSPAS-SARSAR审议通过“北斗”返向链路相关修订建议,“北斗”系统正式成为返向链路提供者。三大卫星导航系统返向链路信息流如图6所示。“北斗”返向链路服务通过MEO卫星和IGSO卫星支持全球范围B2b频点I支路的返向数据下播,每帧电文长度1000符号位,包含436bit返向链路业务信息。
“北斗”国际搜救服务地面段可接受其周边6000km范围内中轨搜救载荷转发的遇险报警信号。2022年,中国MEOLUT接收站可用度达99.99%,中国搜救任务控制中心(CNMCC)可用度达99.97%,“北斗”国际搜救服务地面段遇险信号侦测范围及遇险目标5km定位精度可探测概率如图7所示,返向链路时延优于2min。
三、未来展望
(一)发展趋势
目前,全球各主要卫星导航系统均在积极开展后续系统升级换代,提供新服务、部署新卫星、应用新技术,卫星系统正在经历新一轮的全面变革和发展,主要的发展趋势如下。
1.更加注重服务能力提升
各系统通过增加卫星数量、在新卫星上采用更先进的技术、扩展地面监测站数量和范围、优化改进模型和算法等不断提升精度和可用性,包括GPS、Galileo、GLONASS、“北斗”在内的全球系统空间信号精度不断提升,逐步逼近理论极限。此外,各系统还可提供更高精度的精密单点定位服务,“北斗”提供基于B2b信号的静态厘米级、动态分米级PPP服务;Galileo系统提供基于E6B信号的全球PPP服务,定位精度20cm;日本“准天顶卫星系统”(QZSS)以密集地面站为基础提供快速收敛(1min)的厘米级PPP服务。
2.更加注重服务功能拓展
各系统在提供基本导航服务的同时,不断拓展新的服务功能,GPS在新一代卫星中搭载搜救和新设计的核爆探测载荷;GLONASS后续卫星计划提供搜救服务并具备返向链路功能;Gallileo实现了公开服务导航电文认证接收机商业可用,正在测试中的高精度服务也将正式投入使用,后续还陆续发展电离层预测、预警服务等;日本QZSS明确将在L1S信号已有的广播通信服务(DC Report)中集成预警功能,向亚洲/大洋洲地区播发与灾害相关信息;印度区域导航系统NavIC将在L5频点的报文服务中集成预警功能,向渔民播发渔业相关报文、飓风和海浪预警。此外,GNSS服务正在由近地逐渐向(SSV)空间服务域、深空服务域(DSV)扩展。
3.更加注重服务安全可信
随着四大全球卫星导航系统和两大区域导航系统均提供服务,频谱保护、干扰检测与减轻(IDM)、确保卫星导航应用安全受到越来越多的关注。美国“导航技术卫星”3(NTS-3)将测试CHIMERA信号认证协议,旨在提升GPS欺骗保护能力;Galileo将通过E1b信号提供开放服务导航电文认证OSNMA服务,该服务空间信号接口控制文件及用于公众观测的接收机指南已发布。印度NavIC系统计划在标准定位服务中增加导航电文认证增值服务,目前正在进行空间信号测试。IDM方面,由于GNSS系统面临的干扰和攻击在不断增多,美国已就相关内容立法,并仍在寻求各部门的政策保护。
4.更加注重异轨优势互补
“北斗”系统首创中高轨混合异构星座,综合利用了高轨卫星单星覆盖区域大、抗遮挡能力强,中轨卫星星座全球运行、全球覆盖的特点,这种创新设计为各系统发展混合星座树立了典范。日本QZSS、印度NavIC在区域系统建设中均采取了混合星座方案,并不断扩大星座规模;美国NTS-3将在地球同步轨道上运行;俄罗斯加快MEO卫星更新换代的同时,计划增加IGSO和GEO卫星,构建GLONASS混合星座,全面提升系统性能。
5.更加注重多定位、导航、授时手段融合
保护定位、导航、授时(PNT)不仅需要加强GNSS,还需要开发不过分依赖卫星导航的技术手段,并将它们有效集成。
(二)发展建议
2023年,3颗“北斗”三号备份星成功发射,目前“北斗”系统在轨卫星共48颗,包括15颗“北斗”二号卫星、30颗“北斗”三号卫星及3颗“北斗”三号备份星,所有卫星健康状态良好,在轨运行稳定。未来,“北斗”系统建设发展和运行服务将迎来全新阶段,需要扎实做好稳定运行、全面提升用户服务体验,满足万物互联、万物智能时代对精准泛在时空基础设施的新需求,结合GNSS发展趋势,主要从系统稳定运行、服务性能提升、多手段融合赋能3个方面提出建议。
(1)系统稳定运行方面:一是要综合利用各类监测数据,持续提升“北斗”系统地面智能化运维水平,确保系统稳定运行与性能提升;二是根据星座运行服务情况发射备份卫星,进一步提升星座稳健性和可用性;三是要加强系统管理与定期评价,增加信息发布频次和用户数量,提升用户服务体验。
(2)服务性能提升方面:一是要全面提升以“四性”为核心的系统服务性能。服务精度、可用性、连续性、完好性是GNSS的发展之本,建议配置更高精度的新型原子钟、构建激光星间链路、优化升级时空基准体制,实现更高精度的时空基准网和更高速便捷的时空信息服务网,全面提升七大服务性能。二是更加注重安全可信导航服务功能。未来,空间地面电磁环境日益复杂,有意或无意干扰将长期存在,由于卫星导航无线电信号的先天脆弱性及其广泛应用于国防安全和经济社会命脉各领域的特点,安全可信服务能力就显得尤为重要,建议对开放和授权信号增加相应安全认证手段,防止欺骗干扰。三是强化系统和卫星对新功能和拓展服务的适应能力。建议大幅提升卫星载荷数字化程度以满足服务信号的增加和灵活调整的需求,使得操作者可快速开发和部署新信号和新服务,在不断延长的卫星和星座生命周期内持续升级新技术体制、推出新服务。
(3)多手段融合赋能方面:一是要深化低轨导航增强技术的研究和实践,充分利用其几何变化快、落地功率和信息传输速率高、天基全球覆盖的优势,提升系统精度和完好性,实现双向鉴权认证,满足万物互联、万物智能时代行业和大众用户对精准泛在时空信息服务的需求;二是增强“北斗”系统的韧性和抗脆弱性,采用韧性PNT理论框架,构建综合PNT系统,进一步加快与水下导航、室内导航、量子导航、微PNT等技术的融合,实现从深空到深海、从室外到室内的无缝PNT服务,力争到2035年建成更加泛在、更加融合、更加智能的国家综合定位导航授时体系。
相关阅读